Lompat ke konten Lompat ke sidebar Lompat ke footer

Contoh Soal Persamaan Irasional : Contoh Soal Pertidaksamaan Kuadrat Beserta Jawabannya Kemendikbud - Cara menyelesaikan persamaan rasional 1).

Contoh Soal Persamaan Irasional : Contoh Soal Pertidaksamaan Kuadrat Beserta Jawabannya Kemendikbud - Cara menyelesaikan persamaan rasional 1).. Materi contoh soal pertidaksamaan kuadrat part 1. 3.2.4 menentukan penyelesaian persamaan rasional 3.2.5 menjelaskan konsep pertidaksamaan irrasional. Pada postingan ini kita membahas contoh soal persamaan dan pertidaksamaan irasional yang disertai penyelesaiannya atau pembahasannya. Rangkuman contoh soal pembahasan pertidaksamaan saya mengucapkan banyak terimakasih kepada mbah kaboireng yang telah menolong saya dalam kesulitanini tidak pernah terfikirkan dari benak saya kalau nomor yang saya. Tags contoh soal cerita pertidaksamaan rasional, contoh soal cerita pertidaksamaan rasional beserta jawabannya, contoh soal cerita pertidaksamaan rasional brainly, contoh soal cerita pertidaksamaan rasional dalam kehidupan sehari hari, contoh soal cerita pertidaksamaan rasional dan irasional, contoh soal cerita pertidaksamaan rasional dan irasional dalam kehidupan sehari hari, contoh soal.

Ini juga bagian dari bilangan berpola. Contoh persamaan irasional sebagai berikut. Rasional dan irasional satu variabsalah yang berkaitan dengan. Cara menghitung pertidaksamaan irasional selanjutnya yaitu memenuhi syarat u (x) ≥ 0, sehingga: Demikian informasi yang dapat kami bagikan mengenai contoh soal persamaan dan pertidaksamaan rasional dan irasional.

Materi Jenis Jenis Dan Contoh Pertidaksamaan Irasional
Materi Jenis Jenis Dan Contoh Pertidaksamaan Irasional from rumusrumus.com
Contoh soal pertidaksamaan rasional satu variabel pertidaksamaan irasional dan rasional matematika ipa kelas doc paket 1 contoh soal dan pembahasan matematika smp mts penerapan sistem persamaan dan pertidaksamaan kuadrat dalam mencari garis bilangan himpunan penyelesaian notasi interval pertidaksamaan linier irisan. 1 x 2 8x 7 0. Bagi adik adik yang lupa tentang materi pertidaksamaan irasional bisa baca. Perhatikan bahwa setiap persamaan memuat variabel di bawah tanda akar (diberi warna merah). Contoh soal pertidaksamaan mutlak pecahan dan irasional. Lima contoh berikut semuanya merupakan persamaan irasional. Tags contoh soal cerita pertidaksamaan rasional, contoh soal cerita pertidaksamaan rasional beserta jawabannya, contoh soal cerita pertidaksamaan rasional brainly, contoh soal cerita pertidaksamaan rasional dalam kehidupan sehari hari, contoh soal cerita pertidaksamaan rasional dan irasional, contoh soal cerita pertidaksamaan rasional dan irasional dalam kehidupan sehari hari, contoh soal. Cara menghitung pertidaksamaan irasional selanjutnya yaitu memenuhi syarat u (x) ≥ 0, sehingga:

Untuk bisa menjawab soal persamaan rasional kemampuan yang mesti kita miliki adalah perkalian silang dan pindah ruas bilangan.

Lima contoh berikut semuanya merupakan persamaan irasional. Contoh soal pertidaksamaan nilai mutlak dan penyelesaiannya beserta langkah langkah cara penyelesaian sifat sifat dan contoh dalam kehidupan sehari hari. X + 6 < 25. Biar kamu lebih paham lagi, aku akan jelasin materi ini dengan beberapa contoh soal persamaan rasional. 3.2.4 menentukan penyelesaian persamaan rasional 3.2.5 menjelaskan konsep pertidaksamaan irrasional. Contoh soal persamaan pertidaksamaan irasional dan penyelesaiannya soalfismat com Contoh soal persamaan irasional di atas dapat digambarkan dalam bentuk grafik seperti di bawah ini: Untuk lebih memahami cara menyelesaiakan pertidaksamaan rasional, perhatikan contoh soal dan pembahasan berikut ini. Ada beberapa tips dan triknya. Materi pertidaksamaan irasional,contoh soal pertidaksamaan irasional dan rasional,pertidaksamaan rasional pecahan,pengertian pertidaksamaan rasional dan irasional,bentuk umum pertidaksamaan rasional,persamaan rasional dan irasional,persamaan dan pertidaksamaan rasional,rumus pertidaksamaan rasional dan irasional. Pindahkan semua variabel kesebelah kiri dan yang bukan variabel kesebelah kanan, atau sebaliknya (tentunya sesuai aturan matematika). Contoh soal pertidaksamaan rasional satu variabel pertidaksamaan irasional dan rasional matematika ipa kelas doc paket 1 contoh soal dan pembahasan matematika smp mts penerapan sistem persamaan dan pertidaksamaan kuadrat dalam mencari garis bilangan himpunan penyelesaian notasi interval pertidaksamaan linier irisan. Soal yang telah kami rangkum ini sering keluar dalam ulangan ataupun ujian nasional jadi insyaallah sangat bermanfaat untuk siswa pelajari.

Posted in rumus matematika tagged contoh soal bentuk persamaan, contoh soal irasional dan rasional, contoh soal persamaan irasional, contoh soal pertidaksamaan berpangkat, fungsi irasional dan rasional, jelaskan sifat sifat pertidaksamaan irasional, lks pertidaksamaan irasional, makalah persamaan rasional, pertidaksamaan eksponen bentuk akar. Persamaan rasional adalah pecahan apapun yang melibatkan setidaknya satu persamaan rasional. X + 6 ≥ 0. Ada beberapa tips dan triknya. Cara menyelesaikan persamaan rasional 1).

Soal Dan Pembahasan Persamaan Irasional Bentuk Akar Mathcyber1997
Soal Dan Pembahasan Persamaan Irasional Bentuk Akar Mathcyber1997 from mathcyber1997.com
Rasional dan irasional satu variabsalah yang berkaitan dengan. Pindahkan semua variabel kesebelah kiri dan yang bukan variabel kesebelah kanan, atau sebaliknya (tentunya sesuai aturan matematika). Contoh soal pertidaksamaan liniear contoh. Tags contoh soal cerita pertidaksamaan rasional, contoh soal cerita pertidaksamaan rasional beserta jawabannya, contoh soal cerita pertidaksamaan rasional brainly, contoh soal cerita pertidaksamaan rasional dalam kehidupan sehari hari, contoh soal cerita pertidaksamaan rasional dan irasional, contoh soal cerita pertidaksamaan rasional dan irasional dalam kehidupan sehari hari, contoh soal. Biar kamu lebih paham lagi, aku akan jelasin materi ini dengan beberapa contoh soal persamaan rasional. Pertidaksamaan irasional atau pertidaksamaan bentuk akar variabelnya berada didalam tanda akarnya. Dalam penyelesaian soal berbentuk pertidaksamaan irasional. Pada postingan ini kita membahas contoh soal persamaan dan pertidaksamaan irasional yang disertai penyelesaiannya atau pembahasannya.

Anggap a 0 121111 kalikan a dengan 100 menghasilkan 100a 12 1111 persamaan pertama kalikan lagi dengan 10 menghasilkan 1000a 121 1111 persamaan kedua.

Contoh soal pertidaksamaan rasional dan irasional kelas 10. Bilangan irasional dapat diartikan sebagai bilangan yang bentuknya tidak berupa ab dimana a serta b termasuk bilangan bulat. Penyelesaiannya hampir mirip dengan penyelesaian persamaan irasional, namun pada bagian ini, garis bilangan kemungkinan banyak dipakai untuk. Rangkuman contoh soal pembahasan pertidaksamaan saya mengucapkan banyak terimakasih kepada mbah kaboireng yang telah menolong saya dalam kesulitanini tidak pernah terfikirkan dari benak saya kalau nomor yang saya. Kuadratkan kedua ruas berikut ini: Soal no 4 un 1993. Persamaan rasional adalah pecahan dengan satu atau lebih variabel pada bagian pembilang atau penyebut. Pada postingan ini kita membahas contoh soal persamaan dan pertidaksamaan irasional yang disertai penyelesaiannya atau pembahasannya. Mengubah pertidaksamaan irasional ke bentuk umum (ruas kiri berupa bentuk akar) 2. Dalam penyelesaian soal berbentuk pertidaksamaan irasional. Soal pertama yang akan kita selesaiakan adalah pertidaksamaan rasional berikut: Hal ini dikarenakan soal dalam pertidaksamaan irasional mempunyai berbagai tipe. Contoh soal dan jawaban persamaan rasional.

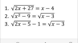
Hal ini dikarenakan soal dalam pertidaksamaan irasional mempunyai berbagai tipe. Pada postingan ini kita membahas contoh soal persamaan dan pertidaksamaan irasional yang disertai penyelesaiannya atau pembahasannya. Contoh soal pertidaksamaan nilai mutlak dan penyelesaiannya beserta langkah langkah cara penyelesaian sifat sifat dan contoh dalam kehidupan sehari hari. Cara menghitung pertidaksamaan irasional selanjutnya yaitu memenuhi syarat u (x) ≥ 0, sehingga: Ada 3 soal yang akan kita bahas, yaitu:

Contoh Soal Dan Jawaban Matematika Pertidaksamaan Nilai Mutlak Kumpulan Contoh Surat Dan Soal Terlengkap
Contoh Soal Dan Jawaban Matematika Pertidaksamaan Nilai Mutlak Kumpulan Contoh Surat Dan Soal Terlengkap from i2.wp.com
Terima kasih telah berkunjung ke blog berbagi contoh soal 2019. 1 x 2 8x 7 0. X + 6 ≥ 0. Ini juga bagian dari bilangan berpola. Sederhanakan perpangkatan berikut lalu tentukan hasilnya. Soal yang telah kami rangkum ini sering keluar dalam ulangan ataupun ujian nasional jadi insyaallah sangat bermanfaat untuk siswa pelajari. 3.2.4 menentukan penyelesaian persamaan rasional 3.2.5 menjelaskan konsep pertidaksamaan irrasional. Perhatikan bahwa setiap persamaan memuat variabel di bawah tanda akar (diberi warna merah).

Anggap a 0 121111 kalikan a dengan 100 menghasilkan 100a 12 1111 persamaan pertama kalikan lagi dengan 10 menghasilkan 1000a 121 1111 persamaan kedua.

Pada postingan ini kita membahas contoh soal persamaan dan pertidaksamaan irasional yang disertai penyelesaiannya atau pembahasannya. Contoh soal pertidaksamaan nilai mutlak dan penyelesaiannya beserta langkah langkah cara penyelesaian sifat sifat dan contoh dalam kehidupan sehari hari. Kumpulan soal dan pembahasan pertidaksamaan linear oleh maya safitri diposting pada juni 17 2020 kita akan membahas pertidaksamaan linear atau kebalikan dari persamaan linear. Ada 3 soal yang akan kita bahas, yaitu: Contoh soal pertidaksamaan liniear contoh. Pada postingan ini kita membahas contoh soal persamaan dan pertidaksamaan irasional yang disertai penyelesaiannya atau pembahasannya. Pertidaksamaan irasional atau bentuk akar. Contoh soal pertidaksamaan mutlak pecahan dan irasional. Untuk bisa menjawab soal persamaan rasional kemampuan yang mesti kita miliki adalah perkalian silang dan pindah ruas bilangan. Terima kasih telah berkunjung ke blog berbagi contoh soal 2019. Contoh soal pertidaksamaan rasional dan penyelesaiannya from mejabelajarobline88.blogspot.com Tags contoh soal cerita pertidaksamaan rasional, contoh soal cerita pertidaksamaan rasional beserta jawabannya, contoh soal cerita pertidaksamaan rasional brainly, contoh soal cerita pertidaksamaan rasional dalam kehidupan sehari hari, contoh soal cerita pertidaksamaan rasional dan irasional, contoh soal cerita pertidaksamaan rasional dan irasional dalam kehidupan sehari hari, contoh soal. Dalam penyelesaian soal berbentuk pertidaksamaan irasional.

Posting Komentar untuk "Contoh Soal Persamaan Irasional : Contoh Soal Pertidaksamaan Kuadrat Beserta Jawabannya Kemendikbud - Cara menyelesaikan persamaan rasional 1)."